https://www.acmicpc.net/problem/1991
1991번: 트리 순회
첫째 줄에는 이진 트리의 노드의 개수 N(1 ≤ N ≤ 26)이 주어진다. 둘째 줄부터 N개의 줄에 걸쳐 각 노드와 그의 왼쪽 자식 노드, 오른쪽 자식 노드가 주어진다. 노드의 이름은 A부터 차례대로 알파
www.acmicpc.net
문제
이진 트리를 입력받아 전위 순회(preorder traversal), 중위 순회(inorder traversal), 후위 순회(postorder traversal)한 결과를 출력하는 프로그램을 작성하시오.

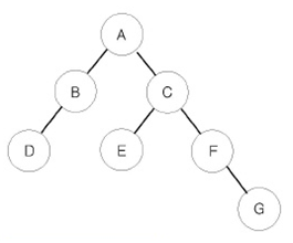
예를 들어 위와 같은 이진 트리가 입력되면,
- 전위 순회한 결과 : ABDCEFG // (루트) (왼쪽 자식) (오른쪽 자식)
- 중위 순회한 결과 : DBAECFG // (왼쪽 자식) (루트) (오른쪽 자식)
- 후위 순회한 결과 : DBEGFCA // (왼쪽 자식) (오른쪽 자식) (루트)
가 된다.
입력
첫째 줄에는 이진 트리의 노드의 개수 N(1 ≤ N ≤ 26)이 주어진다. 둘째 줄부터 N개의 줄에 걸쳐 각 노드와 그의 왼쪽 자식 노드, 오른쪽 자식 노드가 주어진다. 노드의 이름은 A부터 차례대로 알파벳 대문자로 매겨지며, 항상 A가 루트 노드가 된다. 자식 노드가 없는 경우에는 .으로 표현한다.
출력
첫째 줄에 전위 순회, 둘째 줄에 중위 순회, 셋째 줄에 후위 순회한 결과를 출력한다. 각 줄에 N개의 알파벳을 공백 없이 출력하면 된다.

#include <iostream>
using namespace std;
int tree[26][3];
int N;
void preorder(int n)
{
if (n == -1)
return;
cout << (char)(n + 'A');
preorder(tree[n][0]);
preorder(tree[n][1]);
}
void inorder(int n)
{
if (n == -1)
return;
inorder(tree[n][0]);
cout << (char)(n + 'A');
inorder(tree[n][1]);
}
void postorder(int n)
{
if (n == -1)
return;
postorder(tree[n][0]);
postorder(tree[n][1]);
cout << (char)(n + 'A');
}
int main()
{
cin >> N;
for (int i = 0; i < N; i++)
{
char x, y, z;
cin >> x >> y >> z;
int alpha = x - 'A';//int 화
if (y == '.')
{
tree[alpha][0] = -1;
}
else
{
tree[alpha][0] = y - 'A';
}
if (z == '.')
{
tree[alpha][1] = -1;
}
else
{
tree[alpha][1] = z - 'A';
}
}
preorder(0);
cout << '\n';
inorder(0);
cout << '\n';
postorder(0);
cout << '\n';
}'백준 c++ > (1-2)백준 c++ 알고리즘 기초' 카테고리의 다른 글
| 백준 11725 c++ 트리의 부모 찾기 (0) | 2023.01.23 |
|---|---|
| 백준 2250 c++ 트리의 높이와 너비 (0) | 2023.01.18 |
| 백준 2146 다리 만들기 c++ (0) | 2023.01.16 |
| 백준 16964 DFS 스페셜 저지 c++ (0) | 2023.01.15 |
| 백준 16940 BFS 스페셜 저지 c++ (0) | 2023.01.13 |